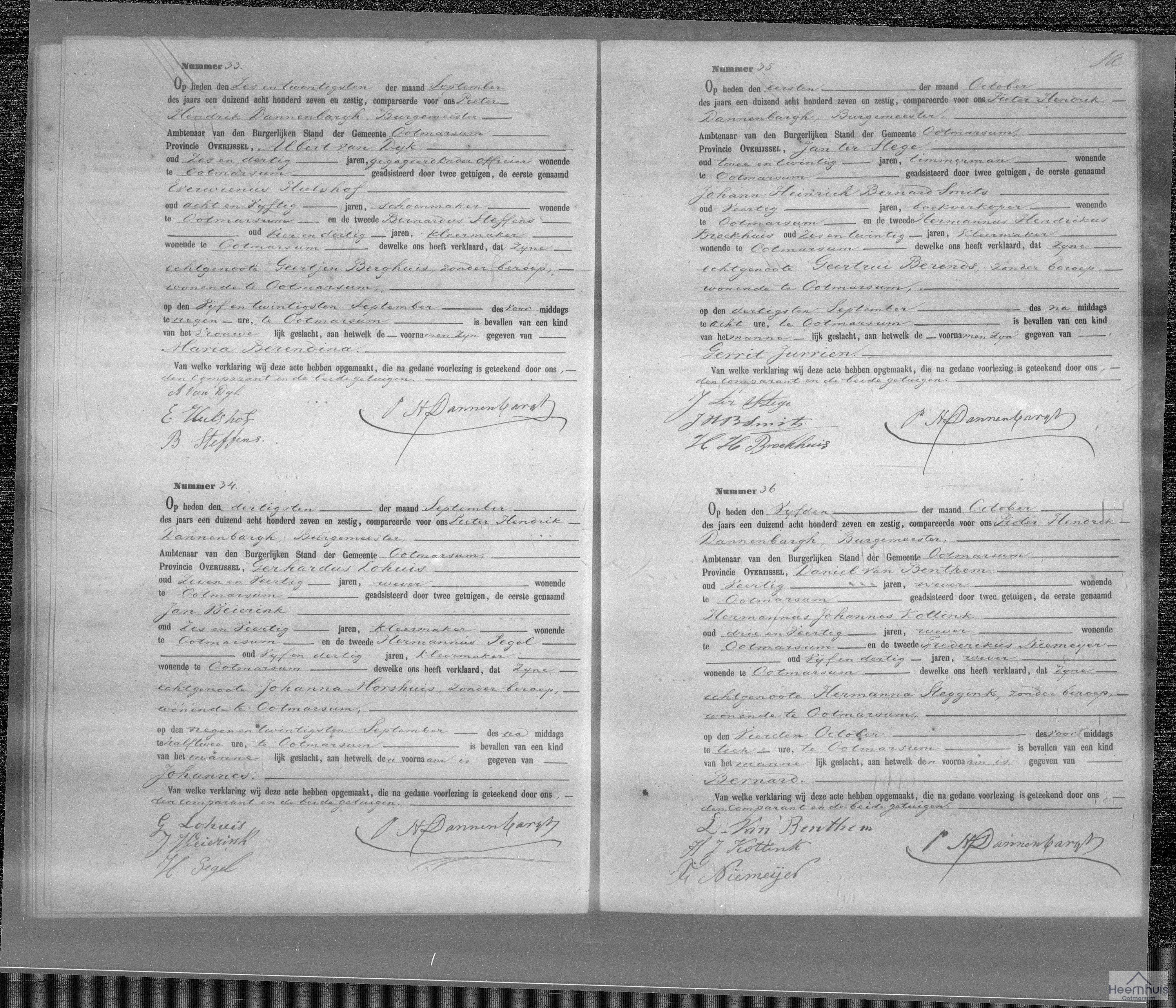
Akte
Uittreksel uit het geboorteregister van de gemeente Ootmarsum,
akte 36, 5 oktober 1867. Aangifte van de geboorte van
Bernard van Benthem.
Aangever
Tevens vader, Daniel van Benthem, oud 40 jaar, van beroep wever, woonachtig te Ootmarsum
Getuigen
Eerste getuige: Hermannus Johannes Kottink, oud 43 jaar, van beroep wever, woonachtig te Ootmarsum
Tweede getuige: Frederikus Niemeijer, oud 35 jaar, van beroep wever, woonachtig te Ootmarsum
Verklaring
Aangever heeft op 5 oktober 1867 verklaard dat zijn echtgenote:
Hermanna Steggink
op 4 oktober 1867 om 10:00 uur te Ootmarsum is bevallen van een kind van het mannelijk geslacht, dat de voornaam Bernard gekregen heeft.

Verantwoording
De getoonde informatie is tot stand gekomen m.b.v. aktes van de Burgerlijke stand van Ootmarsum, die beschikbaar zijn voor geboortes t/m 1918, huwelijken t/m 1939 en overlijdens t/m 1968. Kinderen die zijn voortgekomen uit deze relaties, kunnen dus ontbreken.Aanvullende gegevens van de vermelde personen, die niet in de Ootmarsumse Burgerlijke stand te vinden zijn, werden gecompleteerd via andere bronnen.
Heeft u opmerkingen, correcties of aanvullingen op de getoonde informatie, dan kunt u deze doorgeven door te klikken op het "Opmerking" tabje onder de persoonsgegevens, of door hier
te klikken.






