Akte
Uittreksel uit het geboorteregister van de gemeente Ootmarsum,
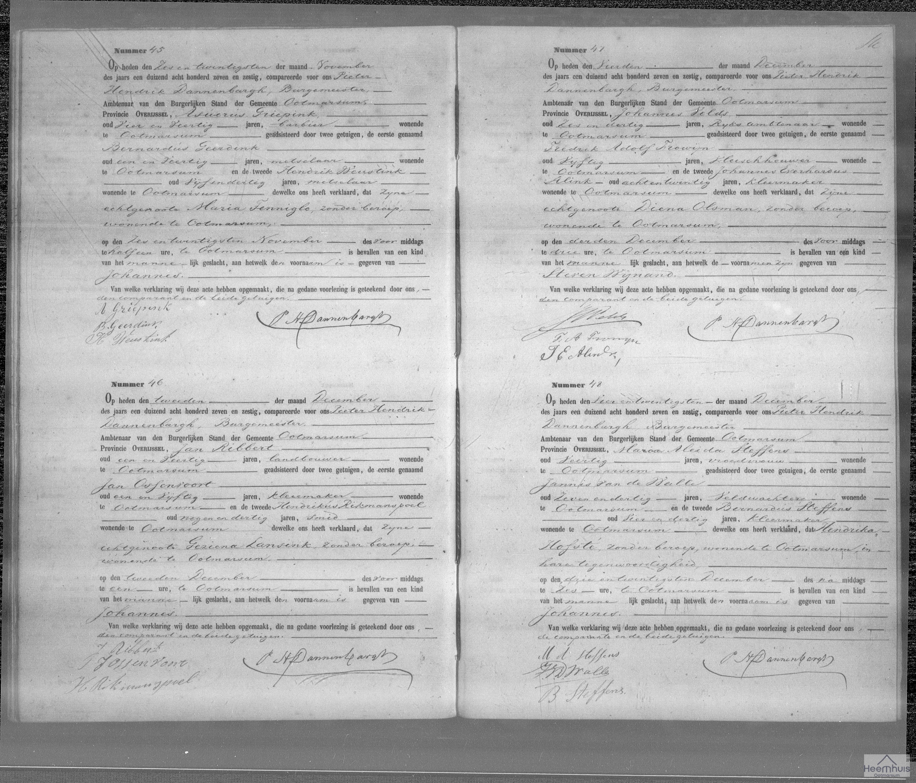
akte 45, 26 november 1867. Aangifte van de geboorte van
Johannes Griepink.
Aangever
Tevens vader, Asuerus Griepink, oud 44 jaar, van beroep barbier, woonachtig te Ootmarsum
Getuigen
Eerste getuige: Bernardus Geerdink, oud 41 jaar, van beroep metselaar, woonachtig te Ootmarsum
Tweede getuige: Hendrik Weustink, oud 35 jaar, van beroep metselaar, woonachtig te Ootmarsum
Verklaring
Aangever heeft op 26 november 1867 verklaard dat zijn echtgenote:
Maria Tenniglo
op 26 november 1867 om 0:30 uur te Ootmarsum is bevallen van een kind van het mannelijk geslacht, dat de voornaam Johannes gekregen heeft.

Verantwoording
De getoonde informatie is tot stand gekomen m.b.v. aktes van de Burgerlijke stand van Ootmarsum, die beschikbaar zijn voor geboortes t/m 1918, huwelijken t/m 1939 en overlijdens t/m 1968. Kinderen die zijn voortgekomen uit deze relaties, kunnen dus ontbreken.Aanvullende gegevens van de vermelde personen, die niet in de Ootmarsumse Burgerlijke stand te vinden zijn, werden gecompleteerd via andere bronnen.
Heeft u opmerkingen, correcties of aanvullingen op de getoonde informatie, dan kunt u deze doorgeven door te klikken op het "Opmerking" tabje onder de persoonsgegevens, of door hier
te klikken.






