Akte
Uittreksel uit het geboorteregister van de gemeente Ootmarsum,
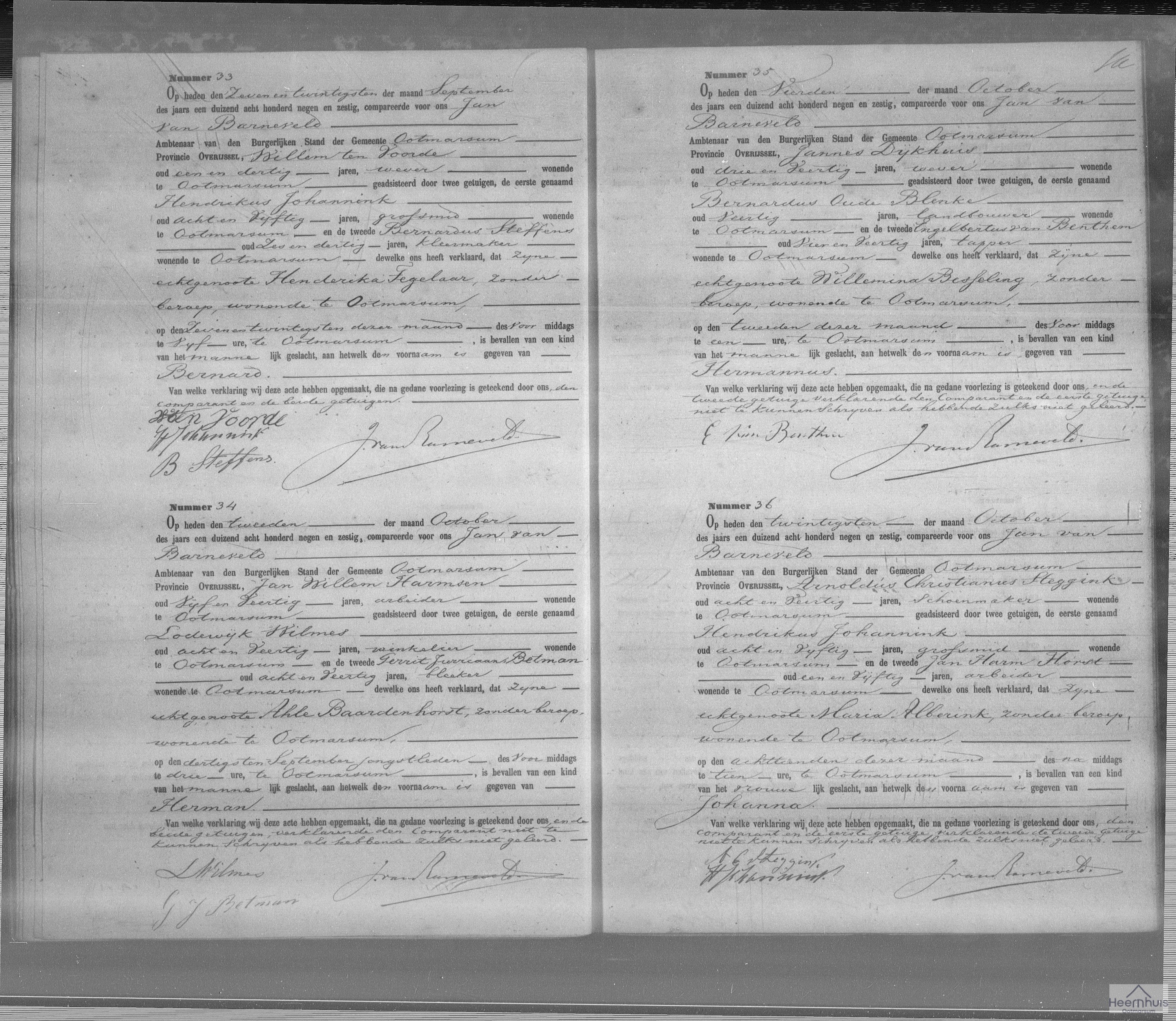
akte 33, 27 september 1869. Aangifte van de geboorte van
Bernard ten Voorde.
Aangever
Tevens vader, Willem ten Voorde, oud 31 jaar, van beroep wever, woonachtig te Ootmarsum
Getuigen
Eerste getuige: Hendrikus Johannink, oud 58 jaar, van beroep grofsmid, woonachtig te Ootmarsum
Tweede getuige: Bernardus Steffens, oud 36 jaar, van beroep kleermaker, woonachtig te Ootmarsum
Verklaring
Aangever heeft op 27 september 1869 verklaard dat zijn echtgenote:
Henderika Tegelaar
op 27 september 1869 om 5:00 uur te Ootmarsum is bevallen van een kind van het mannelijk geslacht, dat de voornaam Bernard gekregen heeft.

Verantwoording
De getoonde informatie is tot stand gekomen m.b.v. aktes van de Burgerlijke stand van Ootmarsum, die beschikbaar zijn voor geboortes t/m 1918, huwelijken t/m 1939 en overlijdens t/m 1968. Kinderen die zijn voortgekomen uit deze relaties, kunnen dus ontbreken.Aanvullende gegevens van de vermelde personen, die niet in de Ootmarsumse Burgerlijke stand te vinden zijn, werden gecompleteerd via andere bronnen.
Heeft u opmerkingen, correcties of aanvullingen op de getoonde informatie, dan kunt u deze doorgeven door te klikken op het "Opmerking" tabje onder de persoonsgegevens, of door hier
te klikken.






